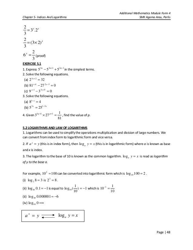
Contoh Soalan Index Form 4
Access Google Drive with a Google account for personal use or Google Workspace account for business use. Baca versi flipbook dari BAB 4 TEKNOLOGI HIJAU DALAM MELESTARIKAN ALAM.
Additional Mathematics Spm Form 4 Indices And Logarithms Otosection
Contoh Soalan Psikometrik Pegawai Perkhidmatan Pendidikan Dg41.
. Seminggu selepas ujian online keputusan untuk mengikuti sesi MAC pon keluar. Temuduga jawatan Pegawai Perkhidmatan Pendidikan gred DG41 untuk menjadi guru MARA atau lebih dikenali dengan program MARA Assessment Center MAC. Dan jika anda ada 4 tahun pengalaman mengajar latihan kemahiran bolehlah mohon VTO secara PPT.
Kursus Induksi SLDN PPL PP-PPT PP-PPD-PPB. SURUHANJAYA PILIHAN RAYA MALAYSIA. Form 4 DLP Physics Physics DLP Form 4.
Langkah 4 Semakan Status Pemeriksaan Kesihatan FEMOMA Online Result Check Status keputusan pemeriksaan FOMEMA akan keluar dalam masa 10 hari bekerja dari tarikh pemeriksaan dibuat. Selari dengan perkembangan pesat teknologi digital Kementerian Pendidikan Malaysia akan menggunakan teknologi dan kandungan digital dalam dalam bidang pendidikan. Pengenalan buku teks digital akan.
Login dengan ID anda daftar di employer portal access. Borang 49 FORM 49 Carian SSM - perlu disahkan dan disertakan NoTelefon. Buku Teks Digital Fizik Tingkatan 4 KSSM dalam Bahasa Inggeris Physics Textbook Form 4 KSSM.
Join an activity with your class and find or create your own quizzes and flashcards. Boleh tak saya nak contoh cpc FB_025_4 office administration tahap 4. WIM HT-012-22012 DAN HT-012-32012.
Berita baik kepada pelajar yang kurang berkemampuan atau dalam kalangan B40 UiTM ada menyediakan bantuan data internet sebanyak RM30 sebulan pada semester ini Semester Sesi II 20192020 Mac - Ogos 2020. Muat turun halaman 1-20 di AnyFlip. Ini dalam Bahasa Inggeris atau Bahasa Melayu.
Untuk buat semakan fomema online result adalah. Sekiranya tidak tahu konsep NOSS pembangunan WIM yang diperlukan untuk pembentangan VTO-PPT nanti boleh ikuti bengkel VTO-PPT. Pergi ke Fomema Employer Portal.
Irwanzul Ujian Personaliti Cikgu Mara. Ada disertakan dengan soalan prestasi pengetahuan dan amali tak. Menara SPR No2 Jalan P2T Presint 2 Pusat Pentadbiran Kerajaan Persekutuan 62100 PUTRAJAYA.
For e-Form D no ASW Activities will be displayed in the ePCO systeme-Form D will be sent to the importing countries after the ASW Malaysia Gateway maintenance activities are completed. Panduan Pengisian Borang 26A Syarikat SEMAKAN Sebarang semakan alamat pada cukai tanah terkini sila ke laman sesawang berikut. Susulan Pekeliling Naib Canselor Bil 112020 bertarikh 4 April 2020.
Responden 1 sanggup bangun seawal jam 4 pagi untuk melakukan kerja sukarela yang melibatkan tugasan pembungkusan makanan menyusun pakaian terpakai street feeding dan kerja pembersihan masjid. Mariah Sanaji menerbitkan BAB 4 TEKNOLOGI HIJAU DALAM MELESTARIKAN ALAM pada 2020-05-02.

Comments
Post a Comment